黄永胜等-SA:挥发分驱动碳酸盐熔体作为“超润湿剂”导致上地幔低速层形成
研究速览:2026年2月25日,《Science Advances》发表了一项高温高压实验研究,首次证实含挥发分(如水、盐分)的碳酸盐熔体在上地幔条件下可充当“超润湿剂”,完全包裹橄榄石颗粒。即便熔体含量极低(0.02–0.08 vol%),也能形成全连通渗透网络,从而合理解释全球范围内观测到的高电导率与低地震波速异常层(低速层,LVL)的成因。该研究由中国科学院广州地球化学研究所黄永胜副研究员联合国内外多家科研机构共同完成,为深入理解地球深部碳循环与物质迁移提供了关键依据。
地球物理观测显示,上地幔底部(约410 km不连续面之上)普遍存在地震波速降低、电导率升高的区域,指示该处可能存在连通性良好的熔体。前人研究推测这极有可能是源自俯冲板片的碳酸盐熔体,但传统实验研究显示,橄榄石与无水碳酸盐熔体间接触角较大,需较高熔体分数(> 2 vol%)方能形成连通网络,与地球物理反演所得的极低熔体含量不符。这一矛盾使得“何种熔体能够以极微量引发大尺度地球物理异常”成为长期未解的科学问题。

图2. 实验结果:挥发分对橄榄石-碳酸盐熔体间二面角的影响。
(A)橄榄石中相对孤立分布的(不含挥发分)碳酸盐熔体;(B)橄榄石中完全连通的含挥发分碳酸盐熔体网络;(C-D)挥发分的加入使得橄榄石–碳酸盐熔体间二面角迅速下降为0°。Ol代表橄榄石。
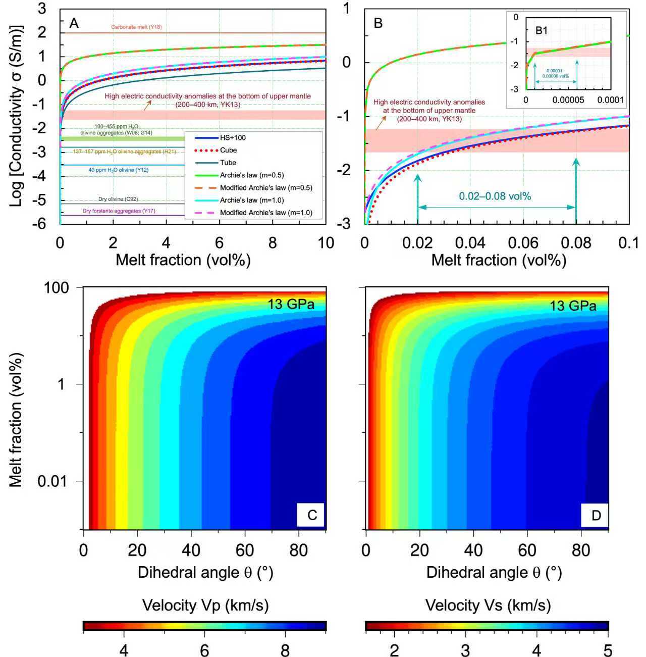
为破解这一矛盾,黄永胜研究团队模拟了1–13 GPa(对应深度约30–390 km)及1100–1400 °C的上地幔条件,系统探究了水(H2O)、氯化钠(NaCl)等挥发分对橄榄石–碳酸盐熔体体系润湿行为的影响。研究发现:挥发分触发“超润湿”效应:在无水体系中,橄榄石–熔体二面角约为30°,熔体呈孤立状分布。加入微量挥发分(0.25 wt% NaCl 或 > 20 wt% H2O)后,二面角降至接近0°,实现熔体对橄榄石颗粒边界的完全润湿,形成三维连通薄膜(图1)。作用机制:电子探针分析表明,含挥发分熔体可显著溶解橄榄石中的硅、镁、铁等组分,从而大幅降低熔体–矿物界面能,这是引发超润湿现象的根本原因。合理解释地球物理异常:基于完全润湿模型的计算显示(图2),仅需0.02–0.08 vol%的含挥发分碳酸盐熔体,即可将电导率提升至观测值(0.02–0.05 S/m),并引起相应地震波速降低,与上地幔底部地球物理特征高度吻合。该熔体分数远低于以往无水模型预测值,成功调和了实验与观测之间的长期矛盾。

图2. 模型计算结果:熔体含量及其拓扑结构对电导率和地震波速的影响。
(A-B)电导率模型估算上地幔底部的熔体含量;(C-D)熔体含量及其拓扑结构对地震波速的协同影响。

图3. 弥漫的熔体网络促进全球物质循环。
研究明确了挥发分在调控深部熔体行为中的关键作用(图3)。完全润湿的碳酸盐熔体网络可作为低黏度、高迁移性的超临界流体,以极低分数实现大规模渗透,从而:(1)驱动深部物质循环:为碳、水及微量元素在地幔与地表间的循环提供高效通道,成为深部碳–水循环的核心环节;(2)引发地幔交代作用:熔体在迁移过程中与围岩发生广泛反应,改变地幔化学成分,影响其不均一性与演化;(3)关联重要地质过程:该机制可能与板内火山活动、深源钻石形成及某些稀土矿床的成因密切相关。
本研究由中国科学院广州地球化学研究所黄永胜副研究员(通讯作者)牵头,联合中国科学院广州地球化学研究所/中国科学院大学(王煜研究员、博士研究生吴国济、硕士研究生陶凯伟)、南方海洋科学与工程广东省实验室(广州)(梁戌然博士)、日本Tohoku University(Michihiko Nakamura教授)和德国University of Bayreuth(BGI)(李元研究员)共同完成。该研究由国家自然科学基金(42222204、42302060、42225302)、中国科学院战略性先导科技专项(XDB0840200)等项目支持。
论文信息
Yongsheng Huang, Guoji Wu, Xuran Liang, Kaiwei Tao, Yu Wang, Michihiko Nakamura, and Yuan Li (2026). Upper mantle low-velocity layer tied to volatile-charged carbonate melts. Science Advances 12, eaec1018. DOI:10.1126/sciadv.aec1018

新闻动态