张翔宇、邱钧霆、王新明等ES&T:萜类与二氧化硫液相直接生成有机硫酸酯
有机硫酸酯(Organosulfates, OSs)是大气广受关注的二次有机气溶胶(SOA)组成,其表面活性作用能增强吸湿生长、降低气溶胶表面张力,对云凝结核生成等有重要影响。陆地植被排放的生物源挥发性有机物(BVOC)中的萜类化合物与二氧化硫(SO2)反应是OSs的一个重要来源。前期研究一般认为,这一反应过程先经过萜类与大气氧化剂氧化生成的中间产物。再与SO2或者无机硫酸盐进一步反应生成OS。然而,夜间森林地区观测到的OSs仍有很大一部分无法用上述途径完全解释。
针对这一问题,中国科学院广州地球化学研究所王新明研究团队邱钧霆副研究员和博士生张翔宇通过系统实验提出了一种液相中OSs生成的新机制:溶解的SO2可在液相中与主要的生物源萜类(α-蒎烯、β-蒎烯、β-石竹烯等)直接反应生成OSs,而无需经过传统路径中大气氧化剂(OH/NO3/O3)氧化这一中间步骤。
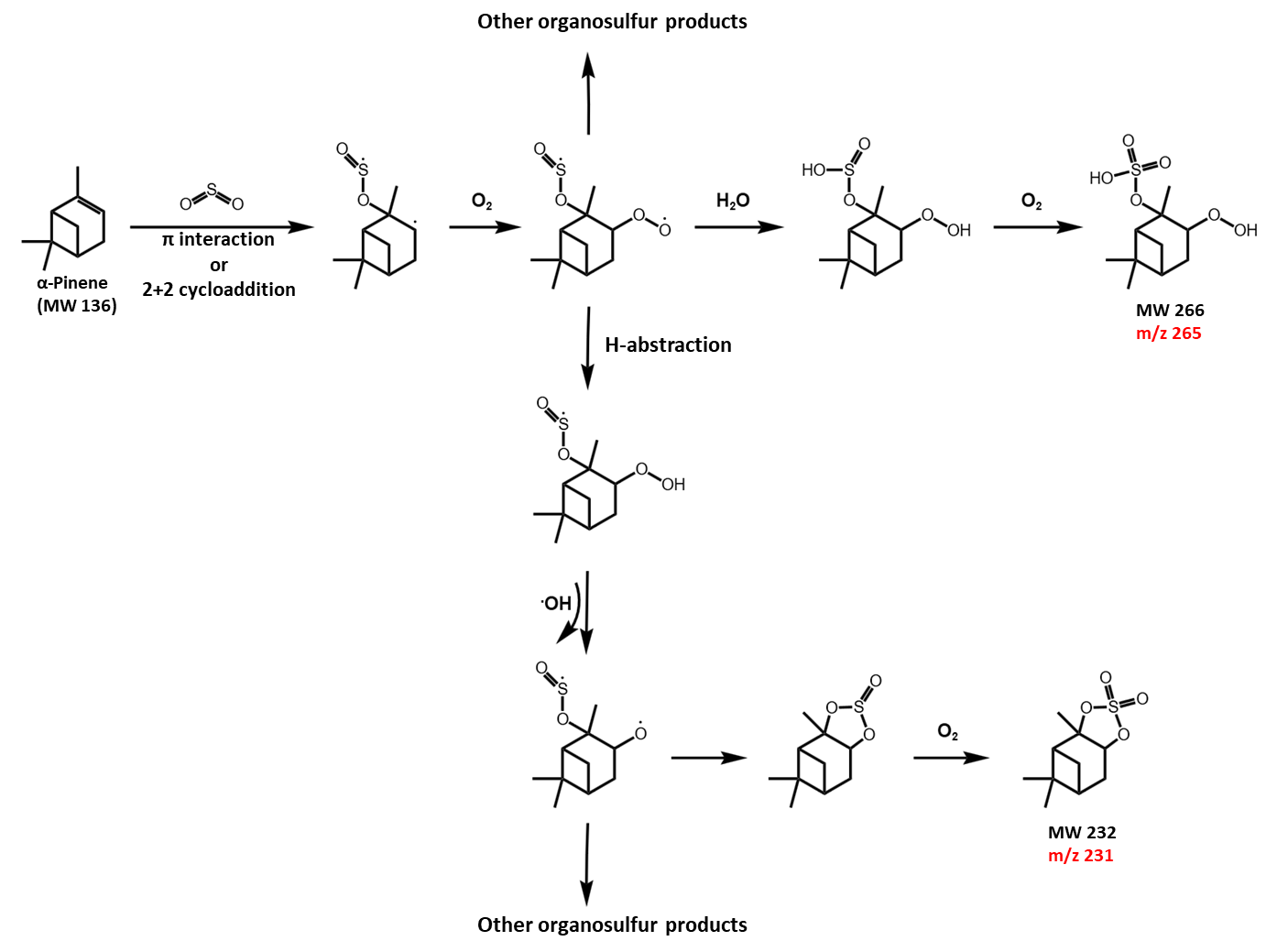
研究通过电喷雾电离质谱证实了α-蒎烯(α-P)和SO2液相反应产物(m/z 231, m/z 265),与野外观测相一致(图1)。为了鉴定产物的官能团结构,设计了D2O和H18O同位素实验(图2),并提出了可能的反应路径(图3)。
动力学实验(图4)显示,在50%的乙腈/水(AN/W)混合溶剂中,α-P与SO2的二级反应速率常数k为4.0 ± 0.9 M-1 s-1;随着含水量增加k非线性上升,在含水量为70 vol%的条件下达到12 ± 1 M-1 s-1。pH依赖性实验(图5)表明,在pH 3 – 5(云雾水和气溶胶液态水的典型范围)下,α-P的k可达60 – 80 M-1 s-1。鉴于在液相中溶解的SO2浓度(约10-3 M)远高于OH、O3或NO3等氧化剂,与SO2直接反应这一途径可能是液相中萜烯的主要反应路径,并显著促进OSs的形成。
本研究工作提出的大气液相中OSs生成的新机制,拓展了对大气OSs来源认识,未来可考虑将这一生成路径纳入大气多相化学模型,以提升大气OSs生成模拟的准确性。
本研究受到国家自然科学基金委项目(42321003,42477112,42107118)、广东省科技厅项目(2023B0303000007,2023B1212060049)的联合资助。相关研究成果近期发表于期刊Environmental Science & Technology。
论文信息:
Xiangyu Zhang (张翔宇), Junting Qiu (邱钧霆)*, and Xinming Wang (王新明)*. Direct Organosulfate Production from Terpenoid-SO2 Interactions in the Aqueous Phase. Environmental Science & Technology. 2026. 5c12041.
论文链接: https://pubs.acs.org/doi/10.1021/acs.est.5c12041

图1. α-P与SO2在AN/W(vol/vol = 1/1)中反应的结果。(A)在无HSO3⁻条件下以及加入HSO3⁻后5、10、15分钟的质谱记录;(B)在O2存在的条件下α-P与SO2反应产生的主要产物在m/z 225–300范围内的质谱分布。

图2. 在 AN/H2O、AN/D2O和AN/H218O溶液中获得的质谱图:(A) m/z 231;(B) m/z 265。所有实验的体积比均为 1:1。

图3. α-P和SO2反应产物m/z 231 和 m/z 265 的可能生成路径

图4. α-P与SO2反应的动力学测量。(A)在不同α-P浓度下记录的HSO3⁻随时间变化信号所拟合的衰减曲线。m/z 81的曲线对应指数衰减 S = S0 exp(−k′ t),表示HSO3⁻信号的衰减;(B) 通过对kα-P′进行线性拟合计算得到α-P + SO2的二阶速率系数kα-P;(C) 在AN/W混合溶液中,α-P + SO2的kα-P随水体积分数的变化关系。误差棒来自至少3次重复实验。

图5. 水溶液中α-萜品醇(α-Tp)与SO2反应的二阶速率系数kTp随pH的变化。误差棒来自至少3次重复实验。

新闻动态